「影事」李叔同《前塵影事》《弘一大師全集 》《弘一大師演講全集》《李叔同 》《佛說阿彌陀經》(弘一法師手書)《弘一大師傳》
此引言勾起我約22年前路過香港遇當時泉州?編印的《弘一大師全集 》因售價高而沒買--雖然後來讀到一些批評文章..... 還是覺得有點遺憾.......
2013.10 發現中國有些PDF檔
《弘一大師演講全集》《李叔同 》
再讀"南閩十年之夢影"
"最後之 "演?講?"
兩篇 感慨
《弘一大師演講全集》弘一大師 台北:天華出版 1981再版 民79年七刷
李叔同 上海人民美术出版社, 1993
本书分为文艺论文选、书信集、歌曲、年表、诗词等6部分.
《弘一大師傳》陳慧劍 台北:三民
「影事」一詞有兩種意思,第一種是佛教用語,指塵世間的一切事物都如夢幻泡影般虛幻不真實;第二種是泛指過去的事情,也就是往事,帶有追憶的色彩, 百度百科.
詳細解釋:
佛教用語:
「影事」在佛教中,用來比喻世間萬物皆如影子、泡影般虛幻,沒有永恆不變的本質。 這種說法強調了事物的無常和短暫,提醒人們不要執著於表象,應追求真理。
泛指往事:
「影事」也可以指過去發生的事情,也就是往事。 這種用法通常帶有懷舊、追憶的情緒,例如「前塵影事」就表示過去的種種經歷和回憶, 百度百科。
例句:
佛教徒常以「影事」來形容世間萬物的虛幻。
回憶起童年往事,不禁感慨「前塵影事」。
總之,「影事」一詞包含了佛教和文學上的兩種含義,既有對世事虛幻的感慨,也有對往昔歲月的追憶。
< 影事: ㄧㄥˇ ㄕˋ >辭典檢視 - 國語辭典
字詞:影事,注音:ㄧㄥˇ ㄕˋ,釋義:佛教中指世界上一切事物皆如夢幻泡影,並非真實。
國語辭典
前尘影事_百度百科
语义解析 成语由"前尘"与"影事"复合构成:"前尘"原指佛教概念中过往的尘世经历,引申为旧日踪迹;"影事"则强调往事的虚幻性与朦胧感。 两者结合形成"如影随形的过往经历"之引申义,带有追忆往事的怀旧情感色彩。
百度
影事_百度百科 ... 影事,读音是yǐng shì。 意思是①佛教语。 谓尘世间一切事皆虚幻如影。 ②泛指往事。
《前塵影事》
1924/10/20 朱自清 二十日星期一晴下午在丐尊家飲酒,觀名家書畫,見李叔同所藏《前塵影事》卷。
二十一日星期二晴改文甚忙。二十二日星期三晴乃乾下午開
《前塵影事》憶前塵——讀《前塵影事集——弘一法師遺著》
2010-11-02 19:47:38| 分類: 愷緣樓書話|字號訂閱
應李叔同紀念館之約所寫文章!談不上論文,算是書話!
弘一法師臨出家前,曾陸續將自己的“遺產”分贈給諸友人和學生。據陳星所著《天心月圓——弘一大師》一書中所寫:“有資料表明,李叔同陸續贈送物品的情況是:平生所繪油畫,贈北京美術學校;筆硯墨帖贈與書法家周承德;書畫、臨摹法書贈給夏丏尊和堵申甫;衣服書籍等贈豐子愷、劉質平;玩好小品送給了陳師曾。”①柯文輝所著《曠世凡夫——弘一大傳》一書中所寫:“叔同將所藏印章,包括自刻及友人所作,贈予西泠印社……”;②將朱慧百、李蘋香二妓所贈書畫扇面裱成捲軸,並自題了引首“前塵影事”四個字贈給了老友夏丏尊,附記說:“息霜舊藏此卷子,今將入山修梵行,以貽丏尊。戊午仲夏並記”;“叔同所藏圖書珍玩,悉贈皖南崔旻飛居士……有關繪畫的書籍給了豐子愷。音樂資料付予劉質平。贈書法多件予堵申甫,筆硯碑帖贈周承德,僅留下《清頌碑》一件自帶。” ③而事實上豐子愷除受贈書籍外,還有一《前塵影事》詩詞手捲。但這一手捲在諸多《弘一法師傳》、《豐子愷傳》等書及相關文章中均未提及。
關於《前塵影事》詩詞手捲,豐子愷在《前塵影事——弘一法師遺著》一書序言中寫道:“先生剃度前數日,曾將平生所作手書一卷。入山前夕,以此手捲授餘,曰:'此前塵影事,子姑存之,藉留遺念云爾。'”值得一提的是夏丏尊所受贈的《前塵影事》捲軸與豐子愷所受贈的《前塵影事》詩詞手捲內容大為不同。 《前塵影事》捲軸僅為弘一所寫四個大字“前塵影事”及附記(圖一),而《前塵影事》手捲則是弘一手書的自己所作的詩詞,計二十四首(圖二)。命名為“前塵影事”,有視為舊作之意,其實手捲中並未寫“前塵影事”題名。
豐子愷得此手捲後,如獲至寶,一直珍藏於家鄉石門緣緣堂。不料,天有不測風雲,1937年7月,日本發動了侵華戰爭,11月戰火燒到了石門灣。帝國主義大兵逼境,豐子愷來不及收拾家甚,便帶領一家老小十餘口倉促逃難。 1938年2月豐子愷在江西萍鄉接到立達學園同事裘夢痕的來信,告知緣緣堂已全部被焚毀。當然,保藏在家的《前塵影事》詩詞手捲也難逃劫難,隨之同歸於盡,豐子愷萬分惋惜。
1942年10月13日,弘一法師在泉州圓寂。 1948年豐子愷自台灣輾轉來到泉州,憑弔法師圓寂之地。當地有一居士,拿出一冊《小說世界》雜誌給豐子愷看,書內影印的就是豐子愷原藏的《前塵影事》詩詞手捲。原來在緣緣堂被焚前,《小說世界》的編者曾向豐子愷借得此手捲照相製版,影印在雜誌上。 《小說世界》周刊由上海《小說世界》社出版,商務印書館發行。 1923年創刊,1924年胡寄塵進入商務印書館後,任《小說世界》編輯。胡寄塵因仰慕弘一法師,自1927年1月28日第15卷第5期,開始連載法師早期的照片及書法作品,並刊登了部分與法師有關的文章。書法作品有詩詞手捲、城南草堂舊藏等;文章有豐子愷的《法味》,呂伯攸的《再記李叔同先生》,孟憶菊寫給胡寄塵的書信《又是一段關於李叔同的記載》等。城南草堂舊藏書法作品皆獨自成篇,有楷書有行書。唯有詩詞手捲是連續登載的,分別連載於第十五卷第八期至第十二期上,標題為“李叔同未出家時所寫詩詞手捲”。每期兩頁,共十頁,計18首。書法以行草為主,沉著痛快、氣息古厚,書風既有魏碑的蒼茫挺秀,又具章草的清雅脫俗。影印時以咖啡色製版,古樸清雅。
豐子愷拿著《小說世界》,再睹影印之手捲,心裡異常激動,他說:“幸有此事,今日得重睹此手捲之面影,誠為一大勝緣!顧此二十年前之雜誌,今世保存極少,不易求得。”為聊慰痛失手捲的惋惜之情,豐子愷當即抄下了詩詞。回到上海後,便開始用毛筆恭錄。一日,學友張心逸來訪,見此抄本,甚是欣賞,便拿去製版。張心逸時為藝文書屋老闆,深愛文藝,專營書籍的出版發行。在張心逸的熱心協助下,豐子愷《前塵影事》手抄本於1949年7月由上海康樂書店出版,書名曰:《前塵影事集——弘一法師遺著》(圖三),基價五十元,由萬葉書店總發行。版權頁上並未標明印量,但目前世面上已極難尋到,估計印量不大,足見書之珍罕。
所幸的是筆者前些年有幸購得兩冊,版本一樣,但其中一冊封面上的“弘一法師遺著”六個字被原藏者用墨塗黑,不知何意!封面採用紅、白、黑三色裝幀,紅和黑把封面平分成兩大部分:紅色部分間有類似梵文的白色圖案,黑色部分則只有露白的宋體字書名。書中並未註明封面設計者,推測設計者本意是用紅與黑分別代表作者的兩個不同人生,紅色代表殷紅絢彩的滾滾紅塵;而黑色代表避世絕塵的苦行生涯。
《前塵影事集——弘一法師遺著》卷首附豐子愷繪弘一法師像、著者的手跡、早期的油畫作品及作者21歲時的照片,編寫者豐子愷、出版者張心逸分別作序。內容收錄頗豐:豐子愷手書先師的詩11首、詞7首、歌13首,後附釋廣義等法師所撰《弘一律師略史及宏法記》。豐子愷沐手書寫先師詩詞,除敬重之外,書風也和先師手捲有意接近,可謂一脈相承。字體較工整,工中帶行,平正流速,空間疏朗,瀟灑自然,一氣呵成。篇幅之大,字數之多,蔚為大觀,可謂是豐氏書法的代表之作(圖四)。
豐子愷在此集序前首先介紹了先師的整個人生經歷,然後又敘述了出版此手捲的整個過程。他對先師的詩詞也格外推崇,讚道:“先生不但精通西洋藝術,於中國文學亦復深造。書法之工,世所共仰。而詩詞歌賦之清新雋逸,尤為晚清諸家所望塵莫及。顧所作極少,且不喜發表。故世間知聞極少。”
其實,弘一法師的詩詞久負盛名,弱冠之年曾加入“城南文社”,詩文詞賦冠絕一時,自言“二十文章驚海內”。 1900年還出版了《李廬詩鐘》。他早期喜作詩詞,其中勵志愛國的詩詞,為後人所重。如《金縷曲》“披髮佯狂走,莽中原……”披肝瀝膽,赤子胸臆躍然紙上,發人深省。同時他又是中國早期的音樂啟蒙家,錢仁康在所著《學堂樂歌考源》一書中寫道:“李叔同作為早期學堂歌的作者,不僅作有許多愛國歌曲、抒情歌曲和哲理性歌曲的歌詞,還從事作曲,創作了《春遊》、《留別》、《早秋》等歌曲,以及直隸省立第一師範附屬小學、浙江省立第一師範學校、南京高等師範學校的校歌和廈門第一屆運動會歌。” ④如他作詞作曲的《春遊》是中國作曲家創作的第一首合唱歌曲,最初發表在1913年5月《白陽》誕生號上,因淳樸自然的音樂和清麗淡雅的歌詞,成為學校合唱歌曲的典範。 1992年11月16日,二十世紀華人音樂經典系列活動藝術委員會還把此歌曲定為“二十世紀華人音樂經典”專輯的第一首合唱曲;他作詞的《送別》歌更是膾炙人口,唱遍大江南北,其情真意摯、魂牽夢繞的詩詞所詮釋的離情別意感動了幾代人,至今仍被廣泛傳唱。
弘一法師的部分作詞的歌曲早期曾被收錄在豐子愷和裘夢痕合編的《中文名歌五十曲》中,於1927年8月由上海開明書店初版。 1958年1月,為紀念先師,豐子愷應北京音樂出版社之邀,編輯了《李叔同歌曲集》。 1993年5月錢仁康編著了《弘一大師歌曲集》,由台北東大圖書股份有限公司出版。 1994年8月陳星編著了《李叔同歌曲尋繹》,由台北世界文物出版社出版。這些書所收錄的大多數是弘一法師作詞或選曲配詞的作品。而詩詞和歌詞合集的單行本卻很少見,至今也未見有人編輯出版過。
張心逸對弘一法師也欽仰已久,他在《前塵影事集——弘一法師遺著》序中說:“爾時正當外侮迭乘,革命萌動之秋。法師滿懷酸辛,故有'中原一發''大千淚海'等語。其將至日本留別祖國同學詞中更有犧牲小我成全大我之禪味及意向,詞云:'長夜淒風眠不得,度群生那惜心肝剖!是祖國,忍孤負。'於此可見法師偉大之人格與犧牲之精神。其對祖國,是何等熱情;對同胞,是何等慷慨,何等慈悲,法師即憑此種心情與精神而為律己也嚴,待人以恕之苦行頭陀,且終法師之身並未消沉而衰頹。即最後生西是,猶寫絕筆'悲欣交集'四字以貽人間。雲欣己身之解脫,憫眾生之苦惱也。遺愛千古,令人肅然起敬。今將法師在俗時僅有之詩詞付梓,藉廣流布,亦表私懷之崇敬云爾。”
《前塵影事集——弘一法師遺著》共四十一頁,豐子愷編寫時在原詩詞手捲的基礎上增補了歌詞部分。封面彩印,早期的油畫作品及著者照片為套紅製版,其餘黑白印刷。因影印製版,字跡清晰,賞心悅目,既是法師目前唯一的詩詞歌集,同時也是豐子愷的首本書法專輯,尤其是為再深入探究法師的詩詞歌賦及豐子愷的書法藝術提供了難得的史料。
註釋:
①陳星:《天心月圓——弘一大師》,第97-98頁,山東畫報出版社1994年10月一版一印;
②③柯文輝:《曠世凡夫——弘一大傳》,第185-186頁,北京大學出版社2010年4月一版一印。
④錢仁康:《學堂樂歌考源》,第14頁,上海音樂出版社2001年一版一印。
《前尘影事》忆前尘——读《前尘影事集——弘一法师遗著》
2010-11-02 19:47:38| 分类: 恺缘楼书话 |字号 订阅 应李叔同纪念馆之约所写文章!谈不上论文,算是书话!
弘一法师临出家前,曾陆续将自己的“遗产”分赠给诸友人和学生。据陈星所著《天心月圆——弘 一大师》一书中所写:“有资料表明,李叔同陆续赠送物品的情况是:平生所绘油画,赠北京美术学校;笔砚墨帖赠与书法家周承德;书画、临摹法书赠给夏丏尊和 堵申甫;衣服书籍等赠丰子恺、刘质平;玩好小品送给了陈师曾。”①柯文辉所著《旷世凡夫——弘一大传》一书中所写:“叔同将所藏印章,包括自刻及友人所 作,赠予西泠印社……”;②将朱慧百、李苹香二妓所赠书画扇面裱成卷轴,并自题了引首“前尘影事”四个字赠给了老友夏丏尊,附记说:“息霜旧藏此卷子,今 将入山修梵行,以贻丏尊。戊午仲夏并记”;“叔同所藏图书珍玩,悉赠皖南崔旻飞居士……有关绘画的书籍给了丰子恺。音乐资料付予刘质平。赠书法多件予堵申 甫,笔砚碑帖赠周承德,仅留下《清颂碑》一件自带。” ③而事实上丰子恺除受赠书籍外,还有一《前尘影事》诗词手卷。但这一手卷在诸多《弘一法师传》、《丰子恺传》等书及相关文章中均未提及。
关于《前尘影事》诗词手卷,丰子恺在《前尘影事——弘一法师遗著》一书序言中写道:“先生剃 度前数日,曾将平生所作手书一卷。入山前夕,以此手卷授余,曰:‘此前尘影事,子姑存之,藉留遗念云尔。’”值得一提的是夏丏尊所受赠的《前尘影事》卷轴 与丰子恺所受赠的《前尘影事》诗词手卷内容大为不同。《前尘影事》卷轴仅为弘一所写四个大字“前尘影事”及附记(图一),而《前尘影事》手卷则是弘一手书 的自己所作的诗词,计二十四首(图二)。命名为“前尘影事”,有视为旧作之意,其实手卷中并未写“前尘影事”题名。
丰子恺得此手卷后,如获至宝,一直珍藏于家乡石门缘缘堂。不料,天有不测风云,1937年7 月,日本发动了侵华战争,11月战火烧到了石门湾。帝国主义大兵逼境,丰子恺来不及收拾家什,便带领一家老小十余口仓促逃难。1938年2月丰子恺在江西 萍乡接到立达学园同事裘梦痕的来信,告知缘缘堂已全部被焚毁。当然,保藏在家的《前尘影事》诗词手卷也难逃劫难,随之同归于尽,丰子恺万分惋惜。
1942年10月13日,弘一法师在泉州圆寂。1948年丰子恺自台湾辗转来到泉州,凭吊法 师圆寂之地。当地有一居士,拿出一册《小说世界》杂志给丰子恺看,书内影印的就是丰子恺原藏的《前尘影事》诗词手卷。原来在缘缘堂被焚前,《小说世界》的 编者曾向丰子恺借得此手卷照相制版,影印在杂志上。《小说世界》周刊由上海《小说世界》社出版,商务印书馆发行。1923年创刊,1924年胡寄尘进入商 务印书馆后,任《小说世界》编辑。胡寄尘因仰慕弘一法师,自1927年1月28日第15卷第5期,开始连载法师早期的照片及书法作品,并刊登了部分与法师 有关的文章。书法作品有诗词手卷、城南草堂旧藏等;文章有丰子恺的《法味》,吕伯攸的《再记李叔同先生》,孟忆菊写给胡寄尘的书信《又是一段关于李叔同的 记载》等。城南草堂旧藏书法作品皆独自成篇,有楷书有行书。唯有诗词手卷是连续登载的,分别连载于第十五卷第八期至第十二期上,标题为“李叔同未出家时所 写诗词手卷”。每期两页,共十页,计18首。书法以行草为主,沉着痛快、气息古厚,书风既有魏碑的苍茫挺秀,又具章草的清雅脱俗。影印时以咖啡色制版,古 朴清雅。
丰子恺拿着《小说世界》,再睹影印之手卷,心里异常激动,他说:“幸有此事,今日得重睹此手 卷之面影,诚为一大胜缘!顾此二十年前之杂志,今世保存极少,不易求得。”为聊慰痛失手卷的惋惜之情,丰子恺当即抄下了诗词。回到上海后,便开始用毛笔恭 录。一日,学友张心逸来访,见此抄本,甚是欣赏,便拿去制版。张心逸时为艺文书屋老板,深爱文艺,专营书籍的出版发行。在张心逸的热心协助下,丰子恺《前 尘影事》手抄本于1949年7月由上海康乐书店出版,书名曰:《前尘影事集——弘一法师遗著》(图三),基价五十元,由万叶书店总发行。版权页上并未标明 印量,但目前世面上已极难寻到,估计印量不大,足见书之珍罕。
所幸的是笔者前些年有幸购得两册,版本一样,但其中一册封面上的“弘一法师遗著”六个字被原 藏者用墨涂黑,不知何意!封面采用红、白、黑三色装帧,红和黑把封面平分成两大部分:红色部分间有类似梵文的白色图案,黑色部分则只有露白的宋体字书名。 书中并未注明封面设计者,推测设计者本意是用红与黑分别代表作者的两个不同人生,红色代表殷红绚彩的滚滚红尘;而黑色代表避世绝尘的苦行生涯。
《前尘影事集——弘一法师遗著》卷首附丰子恺绘弘一法师像、著者的手迹、早期的油画作品及作 者21岁时的照片,编写者丰子恺、出版者张心逸分别作序。内容收录颇丰:丰子恺手书先师的诗11首、词7首、歌13首,后附释广义等法师所撰《弘一律师略 史及宏法记》。丰子恺沐手书写先师诗词,除敬重之外,书风也和先师手卷有意接近,可谓一脉相承。字体较工整,工中带行,平正流速,空间疏朗,潇洒自然,一 气呵成。篇幅之大,字数之多,蔚为大观,可谓是丰氏书法的代表之作(图四)。
丰子恺在此集序前首先介绍了先师的整个人生经历,然后又叙述了出版此手卷的整个过程。他对先 师的诗词也格外推崇,赞道:“先生不但精通西洋艺术,于中国文学亦复深造。书法之工,世所共仰。而诗词歌赋之清新隽逸,尤为晚清诸家所望尘莫及。顾所作极 少,且不喜发表。故世间知闻极少。”
其实,弘一法师的诗词久负盛名,弱冠之年曾加入“城南文社”,诗文词赋冠绝一时,自言“二十 文章惊海内”。1900年还出版了《李庐诗钟》。他早期喜作诗词,其中励志爱国的诗词,为后人所重。如《金缕曲》“披发佯狂走,莽中原……”披肝沥胆,赤 子胸臆跃然纸上,发人深省。同时他又是中国早期的音乐启蒙家,钱仁康在所著《学堂乐歌考源》一书中写道:“李叔同作为早期学堂歌的作者,不仅作有许多爱国 歌曲、抒情歌曲和哲理性歌曲的歌词,还从事作曲,创作了《春游》、《留别》、《早秋》等歌曲,以及直隶省立第一师范附属小学、浙江省立第一师范学校、南京 高等师范学校的校歌和厦门第一届运动会歌。” ④如他作词作曲的《春游》是中国作曲家创作的第一首合唱歌曲,最初发表在1913年5月《白阳》诞生号上,因淳朴自然的音乐和清丽淡雅的歌词,成为学校合 唱歌曲的典范。1992年11月16日,二十世纪华人音乐经典系列活动艺术委员会还把此歌曲定为“二十世纪华人音乐经典”专辑的第一首合唱曲;他作词的 《送别》歌更是脍炙人口,唱遍大江南北,其情真意挚、魂牵梦绕的诗词所诠释的离情别意感动了几代人,至今仍被广泛传唱。
弘一法师的部分作词的歌曲早期曾被收录在丰子恺和裘梦痕合编的《中文名歌五十曲》中,于 1927年8月由上海开明书店初版。1958年1月,为纪念先师,丰子恺应北京音乐出版社之邀,编辑了《李叔同歌曲集》。1993年5月钱仁康编著了《弘 一大师歌曲集》,由台北东大图书股份有限公司出版。1994年8月陈星编著了《李叔同歌曲寻绎》,由台北世界文物出版社出版。这些书所收录的大多数是弘一 法师作词或选曲配词的作品。而诗词和歌词合集的单行本却很少见,至今也未见有人编辑出版过。
张心逸对弘一法师也钦仰已久,他在《前尘影事集——弘一法师遗著》序中说:“尔时正当外侮迭 乘,革命萌动之秋。法师满怀酸辛,故有‘中原一发’‘大千泪海’等语。其将至日本留别祖国同学词中更有牺牲小我成全大我之禅味及意向,词云:‘长夜凄风眠 不得,度群生那惜心肝剖!是祖国,忍孤负。’于此可见法师伟大之人格与牺牲之精神。其对祖国,是何等热情;对同胞,是何等慷慨,何等慈悲,法师即凭此种心 情与精神而为律己也严,待人以恕之苦行头陀,且终法师之身并未消沉而衰颓。即最后生西是,犹写绝笔‘悲欣交集’四字以贻人间。云欣己身之解脱,悯众生之苦 恼也。遗爱千古,令人肃然起敬。今将法师在俗时仅有之诗词付梓,藉广流布,亦表私怀之崇敬云尔。”
《前尘影事集——弘一法师遗著》共四十一页,丰子恺编写时在原诗词手卷的基础上增补了歌词部 分。封面彩印,早期的油画作品及著者照片为套红制版,其余黑白印刷。因影印制版,字迹清晰,赏心悦目,既是法师目前唯一的诗词歌集,同时也是丰子恺的首本 书法专辑,尤其是为再深入探究法师的诗词歌赋及丰子恺的书法艺术提供了难得的史料。
注释:
①陈星:《天心月圆——弘一大师》,第97-98页,山东画报出版社1994年10月一版一印;
②③柯文辉:《旷世凡夫——弘一大传》,第185-186页,北京大学出版社2010年4月一版一印。
④钱仁康:《学堂乐歌考源》,第14页,上海音乐出版社2001年一版一印。
【音樂史上的今天】
1942年10月13日 弘一法師圓寂
弘一法師,俗名李叔同。他作詞的《送別》,很多人從小在學校裡就唱的,「長亭外,古道邊,芳草碧連天。」我就讀的大安國小,窗外看出去,就是福州山。墓塚處處,青山涼亭,藍天白雲,不時可聞送葬隊伍的嗩吶喧鬧震天,所以對《送別》,格外有一番感受。在網路略加搜尋,竟沒有一個好的演唱版本,於是轉貼了陳浩臉書的一篇文章。
弘一法師於10月10日寫下「悲欣交集」,13日圓寂。
文|吳家恆

在读库设计的产品中,有一款与弘一法师的墨宝有关。如何拿到授权呢?我颇费了些脑筋。理论上来说,弘一法师的作品已经过了版权保护期,找本印得好一些的书,直接扫描即可,但是,为什么不尝试找到原始出处,找到最相关的人呢?应该努力一番,争取得到授权的。
讀庫| 微視頻第十九話《豐氏家風》
讀庫|微視頻第二十話《種豆得瓜》
在讀庫設計的產品中,有一款與弘一法師的墨寶有關。如何拿到授權呢?我頗費了些腦筋。理論上來說,弘一法師的作品已經過了版權保護期,找本印得好一些的書,直接掃描即可,但是,為什麼不嘗試找到原始出處,找到最相關的人呢?應該努力一番,爭取得到授權的。
富春江畔的華寶齋曾經出過幾本弘一的書,我便去找他們。回复我說,版權不在他們手上,建議找李叔同紀念館。我幾年前曾經收藏過一本弘一法師的手跡大冊,就是李叔同紀念館編印的,知道它位於浙江平湖市。
找到李叔同紀念館並不難,難的是,如何增加這次接洽的把握性,盡量把事情促成。
我馬上想到了豐子愷。豐家後人,應該和李叔同紀念館有來往、好說話吧?讀庫出版豐子愷作品,其間我都是與楊子耘老師接觸。他是豐子愷先生的外孫,與我是編輯同行,2013年從上海譯文出版社退休。我便給楊子耘老師寫了封郵件,不情之請,問他能否給說合說合。
然後,我便開始領略到豐氏家人的做事風格。
2014年6月18日,接到楊子耘老師的短信,說兩天后他會路過平湖,先去幫我了解一下。
6月20日,接到楊子耘老師的電話,說他正在李叔同紀念館,讓我與王維軍館長直接通話。王館長說,紀念館授權沒問題,但大師的許多作品都是劉質平先生捐獻的,得徵求一下他的公子劉雪陽先生的意見。
劉質平是著名音樂教育家,與豐子愷都是李叔同的學生。他在晚年,把乃師遺墨全部捐獻,李叔同紀念館因此有了鎮館之寶。
次日,楊子耘老師給我來電,先介紹了一下王維軍老師,這也是個愛書人,很看重書的品質,每次出書,都要去印廠監印。他在紀念館時,向王館長介紹了讀庫,還送了我們做的筆記本和畫片給館長和劉雪陽先生。他又說,豐一吟和劉雪陽比較熟,可以給他發短信打個招呼。
又過了一天,楊子耘老師通知我,給劉雪陽先生的短信已發,剛才問過王維軍館長,說已經與劉雪陽先生溝通過了,沒有什麼問題。聽說我要去上海,他便提出,我要是想去平湖具體落實,他可以陪同,可以安排車。
6月25日中午,我和同伴朱朝暉在上海與楊子耘老師會合,他的表哥、同為豐子愷外孫的宋雪君老師也一同趕來。宋老師比楊老師大了幾歲,原在大學執教。位於陝西南路的豐子愷故居,便由豐子愷先生的這些後人維護,免費向公眾開放。
江南正是梅雨季節,這天的雨格外大,楊子耘老師駕車,兩位已經退休的老人陪同我們,向平湖冒雨進發。
在車裡打開手機,有條未看短信,是我們碰頭前楊子耘老師發的:不好意思,因為不熟悉路,我們到早了。我們車停在大門內等你,不急。
宋雪君老師讓我們看一張老照片,是豐子愷生前與家人的大合影,他指著說,這個娃娃是楊子耘,這個娃娃是我。
一個多小時後,到達平湖,穿行在叔同路上,進入叔同公園,看到園內雕像,宋雪君老師說,坐著的是李叔同,站的是他的三個學生,豐子愷、劉質平、潘天壽。
見到王維軍館長,不到十分鐘,便將事情談妥,其他細節,就在日後由我和他直接溝通了。
我們在王館長陪同下參觀過紀念館,然後作別,返回上海,依然是楊子耘老師駕車。細雨如織。
我說,真是順利。
宋雪君老師說,是啊。
有你們兩位老人家御駕親征,還先來過一趟預熱,能不順利嗎。說到這裡,我不知該怎麼說下去。
鞍馬勞乏,我和朱朝暉在車內打起瞌睡來,兩位老人也壓低聲音說話。等我醒時,已進上海市區。我睜開眼,見坐在前排的宋雪君老師也正扭頭,悄悄看我們睡醒沒有,不禁有些慚愧。
這就像那些談判簽字儀式,看似簡單,其實許多工作都在前面做好了。我說,還勞動八十多歲的豐一吟老師來當說客。
楊子耘老師邊開車邊說,豐一吟說,讀庫的忙,我們一定要幫。她給劉雪陽寫了條短信,但劉先生歲數也很大了,不用手機,不看短信,她就把短信發給我,讓我轉發給王館長,還叮囑王館長,一定要找到劉雪陽,把短信當面念給他聽。
我又不知該怎麼說下去。
我和豐氏家人的接觸,始自讀庫再版《護生畫集》。我曾寫過一篇文章,向大家介紹這套“近代佛教藝術的佳構”(趙樸初語),其成書過程便是“世壽所許,定當遵囑”的一諾千金,參與這套書的人,除豐子愷、弘一法師外,還有為畫稿題字的葉恭綽、朱幼蘭、虞愚,保存畫稿並完璧歸趙的廣洽法師。那篇文章的結尾是:“他們都是當得起託付的人”。
這篇小文,我還願意用這句話來結尾。
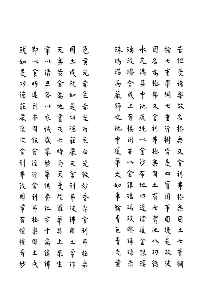
弘一大師一生中書寫最精妙、尺幅最大的抄經手稿。李叔同紀念館提供的真跡資料,讀庫重新編輯刊印。
《佛說阿彌陀經》書影
《佛說阿彌陀經》採用線裝,開本較大,385×300 毫米,又製作了一個牛皮紙函套來保護,也方便大家日常收納之用。
內文用的是75g仿古輕型紙,全書一共四十七張筒子頁。
內頁的紙色微微泛黃。 筒頁線裝,能舒展攤開。
與《讀庫》比比大小。《佛說阿彌陀經》與《佩文齋耕織圖》(點擊進入)開本一樣,是迄今我們做的尺寸最大的一個系列。 李叔同紀念館館長王維軍老師為此次刊印寫的前言《以藝術之形演釋教之音》。王老師勉勵我們說:“弘公曾言,若要紀念他,以刊印整理出版經籍為是,其他紀念之事皆可不做。此次刊印之事正契合弘公之意,大師曉知,當含笑稱是吧。”![]()
以藝術之形式,書宗教之內容,於書法中融攝佛法,刊落鋒穎,脫塵無火,自成弘體書派一脈,成就無上清涼。![]()
內頁欣賞。原作為十六屏條,每張六豎行,每豎行二十個字。限於書頁篇幅,我們重新編排,以求最大限度保留手跡原貌,以利各位讀者領略其書法細節。
◀ 左右滑動圖片查看手書《佛說阿彌陀經》局部▶
樸拙的弘體書法,淡泊的人生智慧
這本Notebook輯錄的是《弘一法師手書嘉言集》裡的格言聯句,由弘一法師手書。寥寥數字,三言兩語,卻能啟迪眾生心智,教化參悟人生。梁實秋曾說弘一的箴言是“一字千金,值得所有人慢慢閱讀,慢慢體味,用一生的時間靜靜領悟”。
◀ 左右滑動圖片查看弘一法師手書▶
◀ 左右滑動圖片查看弘一法師手書▶
沒有留言:
張貼留言